欢迎光临:莱耀标准品网!
 您的位置:对照品 > 对照品 > 中药对照品 >
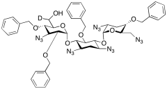
Despentamino Pentazido Tobramycin Tetrabenzyl Ether-d1
产品基本信息
产品编号:D297645
产品名称:Despentamino Pentazido Tobramycin Tetrabenzyl Ether-d1
产品CAS:
规格含量:50mg
产品价格:面议
联系我们:
产品详细介绍
标准品编号: D297645
名称: Despentamino Pentazido Tobramycin Tetrabenzyl Ether-d1
分子式: C₄₆H₅₀DN₁₅O₉
外观: Oil
分子量: 959
溶解性: Dichloromethane, Ethyl Acetate
种类: Standards; Isotopic Labeled Analogues;
应用: Despentamino Pentazido Tobramycin Tetrabenzyl Ether-d1 is an intermediate in the synthesis of Tobramycin-D, 18O Acetic Acid Salt, which is the labeled analogue of Tobramycin (T524000), a single factor antibiotic comprising about 10% of nebramycin, the aminoglycosidic antibiotic complex produced by Streptomyces tenebrarius. Antibacterial.
参考文献


2011-2018 信阳莱耀生物科技有限公司 @ 信阳埃尔文生物科技有限公司版权所有

中检所标准品,对照品,标准气体
Keywords: 中检所标准品 对照品 标准气体