欢迎光临:莱耀标准品网!
 您的位置:对照品 > 对照品 > 中药对照品 >
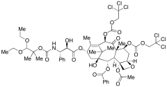
N-De(tert-butoxycarbonyl)-N-[2-(1,1-diethoxy-2-methyl)propoxycarbonyl]-7,10-O-diTroc-docet
产品基本信息
产品编号:D297625
产品名称:N-De(tert-butoxycarbonyl)-N-[2-(1,1-diethoxy-2-methyl)propoxycarbonyl]-7,10-O-diTroc-docet
产品CAS:
规格含量:2.5mg
产品价格:面议
联系我们:
产品详细介绍
标准品编号: D297625
名称: N-De(tert-butoxycarbonyl)-N-[2-(1,1-diethoxy-2-methyl)propoxycarbonyl]-7,10-O-diTroc-docetaxel
别名: Docetaxel Related Compound
分子式: C₅₃H₆₃Cl₆NO₂₀
外观: 白色固体
分子量: 1246.78
储存: -20°C Freezer
溶解性: DCM, Ethyl Acetate
种类: Building Blocks; Standards; Miscellaneous;
应用: N-De(tert-butoxycarbonyl)-N-[2-(1,1-diethoxy-2-methyl)propoxycarbonyl]-7,10-O-diTroc-docetaxel is an intermediate in the synthesis of metabolites of docetaxel (D494420), an antimitotic agent that promotes the assembly of micro-tubules and inhibits their de-polymerization to free tubulin.
参考文献


2011-2018 信阳莱耀生物科技有限公司 @ 信阳埃尔文生物科技有限公司版权所有

中检所标准品,对照品,标准气体
Keywords: 中检所标准品 对照品 标准气体