您的位置:对照品 > 标准品 > 美国药典 > |
|
|
|
| 产品基本信息 |
|
| 产品编号:H282925 |
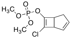
| 产品名称:Heptenophos |
| 产品CAS:23560-59-0 |
| 规格含量:100mg |
| 产品价格:面议 |
| 联系我们: |
|
|
|
|
|
| 产品详细介绍 |
| 标准品编号: |
H282925 |
| 名称: |
Heptenophos |
| 别名: |
Bicyclo[3.2.0]heptane, phosphoric acid deriv.; 4-(O,O-Dimethylphosphoryl)-5-chlorobicyclo[3.2.0]hepta-1,4-diene; Heptenofos; Hostaquick; Ragadan; XOE 2982 |
| CAS号: |
23560-59-0 |
| 分子式: |
C₉H₁₂ClO₄P |
| 分子量: |
250.62 |
| 种类: |
Standards; Environmental Standards, Mutagens and Metabolites; |
| 应用: |
Heptenophos is a pesticide used for fruits and vegetables. |
| 参考文献 |
|
|
|
|
|
|