欢迎光临:莱耀标准品网!
 您的位置:对照品 > 标准品 > 美国药典 >
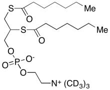
rac-12-bis(Heptanoylthio)glycerophosphocholine-D9
产品基本信息
产品编号:H281302
产品名称:rac-12-bis(Heptanoylthio)glycerophosphocholine-D9
产品CAS:
规格含量:10mg
产品价格:面议
联系我们:
产品详细介绍
标准品编号: H281302
名称: rac-12-bis(Heptanoylthio)glycerophosphocholine-D9
别名: 2-[[[2,3-bis[(1-Oxoheptyl)thio]propoxy]hydroxyphosphinyl]oxy]-N,N,N-trimethylethanaminium Inner Salt-D9; 4-Hydroxy-N,N,N-trimethyl-10-oxo-7-[(1-oxoheptyl)thio]-3,5-dioxa-9-thia-4-phosphahexadecan-1-aminium 4-Oxide Inner Salt-D9
参考CAS号: Unlabelled: 210584-04-6
分子式: C₂₂H₃₅D₉NO₆PS₂
分子量: 522.75
种类: Research Tools;
应用: rac-12-bis(Heptanoylthio)glycerophosphocholine-D9 is a labelled analogue of rac-12-bis(Heptanoylthio)glycerophosphocholine (H281300).
参考文献


2011-2018 信阳莱耀生物科技有限公司 @ 信阳埃尔文生物科技有限公司版权所有

中检所标准品,对照品,标准气体
Keywords: 中检所标准品 对照品 标准气体