欢迎光临:莱耀标准品网!
 您的位置:对照品 > 标准品 > 进口标准品 >
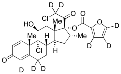
Mometasone Furoate-d8
产品基本信息
产品编号:M490003
产品名称:Mometasone Furoate-d8
产品CAS:
规格含量:2.5mg
产品价格:面议
联系我们:
产品详细介绍
标准品编号: M490003
名称: Mometasone Furoate-d8
别名: (11β,16α)-9,21-Dichloro-17-[(2-furanylcarbonyl)oxy]-11-hydroxy-16-methyl-pregna-1,4-diene-3,20-dione-d8; Sch-32088-d8; Elocon-d8; Nasonex-d8; Twisthaler-d8
参考CAS号: Unlabelled: 83919-23-7
分子式: C₂₇H₂₂D₈Cl₂O₆
分子量: 529.48
种类: Standards; Isotopic Labeled Analogues; Pharmaceutical/API Drug Impurities/Metabolites; Steroids;
应用: Mometasone Furoate-d8 is the isotope labelled analog of Mometasone Furoate (M490000); a topical corticosteroid used as an anti-inflammatory.
参考文献


2011-2018 信阳莱耀生物科技有限公司 @ 信阳埃尔文生物科技有限公司版权所有

中检所标准品,对照品,标准气体
Keywords: 中检所标准品 对照品 标准气体