欢迎光临:莱耀标准品网!
 您的位置:对照品 > 标准品 > 进口标准品 >
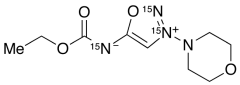
Molsidomine-15N3
产品基本信息
产品编号:M488002
产品名称:Molsidomine-15N3
产品CAS:
规格含量:10mg
产品价格:面议
联系我们:
产品详细介绍
标准品编号: M488002
名称: Molsidomine-15N3
别名: 5-[(Ethoxycarbonyl)amino]-3-(4-morpholinyl)-1,2,3-oxadiazolium-15N3 Inner Salt; CAS 276-15N3; Corraton-15N3; Coruno-15N3; Corvasal-15N3; Corvaton-15N3; Molsidolat-15N3; Morial-15N3; Morsydomine-15N3; Motazomin-15N3; N-(Ethoxycarbonyl)-3-morpholinosydnone imine-15N3; N-Ethoxycarbonyl-3-morpholinosydnonimine-15N3; SIN 10-15N3 (pharmaceutical); Sydnopharm-15N3;
参考CAS号: 类似: 25717-80-0
分子式: C₉H₁₄N¹⁵N₃O₄
分子量: 245.21
种类: Building Blocks; Isotopic Labeled Analogues;
应用: Labelled Molsidomine, an antianginal agent. Molsidomine is an effective therapeutic agents in the treatment of angina pectoris. Molsidomine is a sydnonimine derivative that acts as a heterocyclic direct nitric oxide donor.
参考文献


2011-2018 信阳莱耀生物科技有限公司 @ 信阳埃尔文生物科技有限公司版权所有

中检所标准品,对照品,标准气体
Keywords: 中检所标准品 对照品 标准气体