欢迎光临:莱耀标准品网!
 您的位置:对照品 > 标准品 > 欧洲药典标准品 >
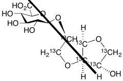
Isosorbide 5-β-D-Glucuronide-13C6
产品基本信息
产品编号:I902122
产品名称:Isosorbide 5-β-D-Glucuronide-13C6
产品CAS:
规格含量:
产品价格:面议
联系我们:
产品详细介绍
标准品编号: I902122
名称: Isosorbide 5-β-D-Glucuronide-13C6
别名: D-1,4:3,6-Dianhydro-2-O-β-D-glucopyranuronosyl-glucitol-13C6; Furo[3,2-b]furan, D-glucitol derivative; Isosorbide 2-Glucuronide-13C6
参考CAS号: 29542-01-6 unlabelled
分子式: C₆¹³C₆H₁₈O₁₀
分子量: 328.22
种类: Standards; Isotopic Labeled Analogues;
应用: Isosorbide 5-β-D-Glucuronide-13C6 is labeleld Isosorbide 5-β-D-Glucuronide (I902120) which is a metabolite of Isosorbide 5-Mononitrate (I902100).
参考文献


2011-2018 信阳莱耀生物科技有限公司 @ 信阳埃尔文生物科技有限公司版权所有

中检所标准品,对照品,标准气体
Keywords: 中检所标准品 对照品 标准气体