欢迎光临:莱耀标准品网!
 您的位置:对照品 > 标准品 > 欧洲药典标准品 >
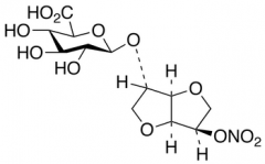
Isosorbide 5-Mononitrate 2-β-D-Glucuronide
产品基本信息
产品编号:I902110
产品名称:Isosorbide 5-Mononitrate 2-β-D-Glucuronide
产品CAS:32871-20-8
规格含量:10mg
产品价格:面议
联系我们:
产品详细介绍
标准品编号: I902110
名称: Isosorbide 5-Mononitrate 2-β-D-Glucuronide
别名: 1,4:3,6-Dianhydro-2-O-β-D-glucopyranuronosyl-D-glucitol 5-Nitrate;
CAS号: 32871-20-8
分子式: C₁₂H₁₇NO₁₂
分子量: 367.26
种类: Standards; Pharmaceutical/API Drug Impurities/Metabolites;
应用: A metabolite of Isosorbide 5-Mononitrate (I902100).
参考文献


2011-2018 信阳莱耀生物科技有限公司 @ 信阳埃尔文生物科技有限公司版权所有

中检所标准品,对照品,标准气体
Keywords: 中检所标准品 对照品 标准气体