欢迎光临:莱耀标准品网!
 您的位置:对照品 > 对照品 > 杂质对照品 >
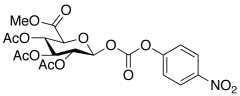
p-Nitrophenyl Carbonate 2,3,4-Tri-O-acetyl-β-D-glucuronide Methyl Ester
产品基本信息
产品编号:N502550
产品名称:p-Nitrophenyl Carbonate 2,3,4-Tri-O-acetyl-β-D-glucuronide Methyl Ester
产品CAS:228412-71-3
规格含量:500mg
产品价格:面议
联系我们:
产品详细介绍
标准品编号: N502550
名称: p-Nitrophenyl Carbonate 2,3,4-Tri-O-acetyl-β-D-glucuronide Methyl Ester
别名: p-Nitrophenyl Carbonate 2,3,4-Tri-O-acetyl-β-D-Glucopyranuronic Acid Methyl Ester
CAS号: 228412-71-3
分子式: C₂₀H₂₁NO₁₄
分子量: 499.38
种类: Building Blocks;
应用: p-Nitrophenyl Carbonate 2,3,4-Tri-O-acetyl-β-D-glucuronide Methyl Ester is used in the synthesis of Varenicline Carbamoyl metabolite.
参考文献


2011-2018 信阳莱耀生物科技有限公司 @ 信阳埃尔文生物科技有限公司版权所有

中检所标准品,对照品,标准气体
Keywords: 中检所标准品 对照品 标准气体