您的位置:对照品 > 对照品 > 杂质对照品 >
产品基本信息
产品编号:N407788
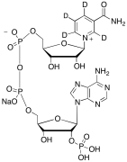
产品名称:β-NADP-d4 Sodium Salt
产品CAS:
规格含量:10mg
产品价格:面议
联系我们:
产品详细介绍
标准品编号:
N407788
名称:
β-NADP-d4 Sodium Salt
别名:
Adenosine 5'-(trihydrogen diphosphate), 2'-(dihydrogen phosphate), P'→5'-ester with 3-(aminocarbonyl)-1-β-D-ribofuranosylpyridinium-d3, inner salt, sodium salt;Adenosine 5'-(trihydrogen diphosphate), 2'-(dihydrogen phosphate), P'→5'-ester with 3-(aminocarbonyl)-1-β-D-ribofuranosylpyridinium-d3, inner salt, monosodium salt; Adenosine 5'-(trihydrogen diphosphate), P'→5'-ester with 3-(aminocarbonyl)-1-β-D-ribofuranosylpyridinium hydroxide-d3, inner salt, 2'-(dihydrogen phosphate), monosodium salt; Adenosine 5'-(trihydrogen diphosphate), P'→5'-ester with 3-(aminocarbonyl)-1-β-D-ribofuranosylpyridinium, inner salt, 2'-(dihydrogen phosphate)-13C5, monosodium salt; NSC 20273-d3; Sodium NADP-d3
参考CAS号:
1184-16-3 unlabelled
分子式:
C₂₁H₂₃D₄N₇NaO₁₇P₃
分子量:
769.41
种类:
Research Tools; Molecular Biology;
应用:
β-NADP-d3 Sodium Salt is labelled β-NADP Sodium Salt. β-NADP and β-NADPH comprise a coenzyme redox pair (NADP+:NADPH) involved in a wide range of enzyme catalyzed oxidation reduction reactions. The NADP+/NADPH redox pair is used in a variety of antioxidation mechanism.
参考文献
Canevari, L., et al.: Neurochem. Res., 32, 739 (2007); Fraser, P.: Free Radical Bio. Med., 51, 967 (2011); Drummond, G., et al.: Nature Rev. Drug Discovery, 10, 453 (2011)