欢迎光临:莱耀标准品网!
 您的位置:对照品 > 对照品 > 杂质对照品 >
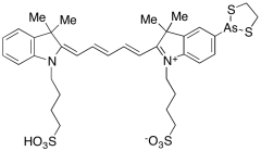
5-Mono(dithiarsolanyl)-bis)sulfobutyl) Cyanine 5
产品基本信息
产品编号:M539550
产品名称:5-Mono(dithiarsolanyl)-bis)sulfobutyl) Cyanine 5
产品CAS:
规格含量:5mg
产品价格:面议
联系我们:
产品详细介绍
标准品编号: M539550
名称: 5-Mono(dithiarsolanyl)-bis)sulfobutyl) Cyanine 5
分子式: C₃₅H₄₅AsN₂O₆S₄
外观: Blue Colour Powder
分子量: 792.92
溶解度: Methanol, Water
种类: Standards; Fluorescent Reagents; Dyes; Pharmaceutical/API Drug Impurities/Metabolites;
应用: 5-Mono(dithiarsolanyl)-bis)sulfobutyl) Cyanine 5 is an derivative of Bis(dithiarsolanyl)-bis(sulfobutyl) Cyanine 5 (B431910), a cyanine-based probe targeted to a complementary binding peptide for fluorescence protein imaging.
参考文献


2011-2018 信阳莱耀生物科技有限公司 @ 信阳埃尔文生物科技有限公司版权所有

中检所标准品,对照品,标准气体
Keywords: 中检所标准品 对照品 标准气体