您的位置:对照品 > 对照品 > 杂质对照品 > |
|
|
|
| 产品基本信息 |
|
| 产品编号:I821285 |
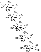
| 产品名称:Isomaltopentaose |
| 产品CAS:6082-32-2 |
| 规格含量:10mg |
| 产品价格:面议 |
| 联系我们: |
|
|
|
|
|
| 产品详细介绍 |
| 标准品编号: |
I821285 |
| 名称: |
Isomaltopentaose |
| 别名: |
O-α-D-Glucopyranosyl-(1→6)-O-α-D-glucopyranosyl-(1→6)-O-α-D-glucopyranosyl-(1→6)-O-α-D-glucopyranosyl-(1→6)-D-glucose; |
| CAS号: |
6082-32-2 |
| 分子式: |
C₃₀H₅₂O₂₆ |
| 外观: |
Off-White Sticky Solid |
| 熔点: |
未标明外观 |
| 分子量: |
828.72 |
| 储存: |
冰箱, under inert atmosphere |
| 溶解度: |
Methanol (Slightly), Water (Slightly) |
| 种类: |
Standards; Carbohydrates and Oligosaccharides; |
| 应用: |
Isomaltopentaose, is an isomalto-oligosaccharides (IMO) compound, used as functional food ingredients. |
| 参考文献 |
|
|
|
|
|
|
|
|