您的位置:对照品 > 对照品 > 杂质对照品 > |
|
|
|
| 产品基本信息 |
|
| 产品编号:I775475 |
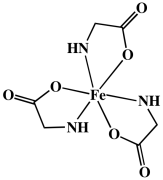
| 产品名称:Iron Trisglycinate |
| 产品CAS:34369-82-9 |
| 规格含量:500mg |
| 产品价格:面议 |
| 联系我们: |
|
|
|
|
|
| 产品详细介绍 |
| 标准品编号: |
I775475 |
| 名称: |
Iron Trisglycinate |
| 别名: |
Ferric Glycinate; Iron Glycinate; Tris(glycinato)iron(III) |
| CAS号: |
34369-82-9 |
| 分子式: |
C₆H₁₂FeN₃O₆ |
| 外观: |
淡黄色固体 |
| 熔点: |
>218°C (dec.) |
| 分子量: |
278.02 |
| 储存: |
冰箱 |
| 溶解度: |
Aqueous Acid, Water |
| 种类: |
Research Tools; Molecular Biology; |
| 应用: |
Iron Trisglycinate is used in biological studies to evaluate the dietary iron absorption from whole corn meal in humans. |
| 参考文献 |
|
|
|
|
|
|
|
|