欢迎光临:莱耀标准品网!
 您的位置:对照品 > 对照品 > 杂质对照品 >
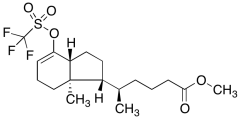
2,3,3a,6,7,7a-Hexahydro-5’,7a-dimethyl-4-hydroxy-indene-(1R)-1’-pentan
产品基本信息
产品编号:H293950
产品名称:2,3,3a,6,7,7a-Hexahydro-5’,7a-dimethyl-4-hydroxy-indene-(1R)-1’-pentan
产品CAS:145372-34-5
规格含量:25mg
产品价格:面议
联系我们:
产品详细介绍
标准品编号: H293950
名称: 2,3,3a,6,7,7a-Hexahydro-5’,7a-dimethyl-4-hydroxy-indene-(1R)-1’-pentanoic Acid Methyl Ester 4-O-Trifluoromethanesulfonate
别名: (δR,1R,3aR,7aR)-2,3,3a,6,7,7a-Hexahydro-δ,7a-dimethyl-4-[[(trifluoromethyl)sulfonyl]oxy]-1H-indene-1-pentanoic Acid Methyl Ester;
CAS号: 145372-34-5
分子式: C₁₈H₂₇F₃O₅S
外观: Light Yellow Oil
分子量: 412.46
种类: Standards; Pharmaceutical/API Drug Impurities/Metabolites;
应用: Intermediate in the preparation of Dihydroxyvitamin D3 and associated metabolites.
参考文献


2011-2018 信阳莱耀生物科技有限公司 @ 信阳埃尔文生物科技有限公司版权所有

中检所标准品,对照品,标准气体
Keywords: 中检所标准品 对照品 标准气体