您的位置:对照品 > 对照品 > 杂质对照品 > |
|
|
|
| 产品基本信息 |
|
| 产品编号:D296771 |
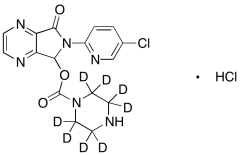
| 产品名称:N-Desmethyl Zopiclone-d8 Hydrochloride |
| 产品CAS:1189719-74-1 |
| 规格含量:10mg |
| 产品价格:面议 |
| 联系我们: |
|
|
|
|
|
| 产品详细介绍 |
| 标准品编号: |
D296771 |
| 名称: |
N-Desmethyl Zopiclone-d8 Hydrochloride |
| 别名: |
(Piperazine-d8)-1-carboxylic Acid 6-(5-Chloro-pyridin-2-yl)-7-oxo-6,7-dihydro-5H-pyrrolo[3,4-b]pyrazin-5yl Ester Hydrochloride; |
| CAS号: |
1189719-74-1 |
| 参考CAS号: |
1189805-43-3 free amine; 1216659-29-8 unlabelled; |
| 分子式: |
C₁₆H₈D₈Cl₂N₆O₃ |
| 外观: |
白色至白色固体 |
| 熔点: |
>187°C (dec.) |
| 分子量: |
419.29 |
| 储存: |
-20°C Freezer, Under inert atmosphere |
| 溶解性: |
DMSO (Slightly), Methanol (Slightly), Water (Slightly) |
| 种类: |
Standards; Isotopic Labeled Analogues; Pharmaceutical/API Drug Impurities/Metabolites; |
| 应用: |
N-Desmethyl Zopiclone-d8 is a labelled metabolite of Zopiclone (Z700500). |
| 参考文献 |
|
|
|
|
|
|