欢迎光临:莱耀标准品网!
 您的位置:对照品 > 对照品 > 杂质对照品 >
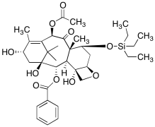
4-Deacetyl-7-(triethylsilyl)baccatin III
产品基本信息
产品编号:D198223
产品名称:4-Deacetyl-7-(triethylsilyl)baccatin III
产品CAS:156605-41-3
规格含量:5mg
产品价格:面议
联系我们:
产品详细介绍
标准品编号: D198223
名称: 4-Deacetyl-7-(triethylsilyl)baccatin III
别名: 2aR-​(2aα,​4β,​4aβ,​6β,​9α,​11α,​12α,​12aα,​12bα)​]​-6-​(Acetyloxy)​-​12-​(benzoyloxy)​-​1,​2a,​3,​4,​4a,​6,​9,​10,​11,​12,​12a,​12b-​dodecahydro-​9,​11,​12b-​trihydroxy-​4a,​8,​13,​13-​tetramethyl-​4-​[(triethylsilyl)​oxy]​-​7,​11-​methano-​5H-​cyclodeca[3,​4]​benz[1,​2-​b]​oxet-​5-​one; (2aR,4S,4aS,6R,9S,11S,12S,12aR,12bS)-6-Acetoxy-9,11,12b-trihydroxy-4a,8,13,13-tetramethyl-5-oxo-4-((triethylsilyl)oxy)-2a,3,4,4a,5,6,9,10,11,12,12a,12b-dodecahydro-1H-7,11-methanocyclodeca[3,4]benzo[1,2-b]oxet-12-yl Benzoate
CAS号: 156605-41-3
分子式: C₃₅H₅₀O₁₀Si
外观: 白色固体
分子量: 658.85
种类: Standards; Pharmaceutical/API Drug Impurities/Metabolites;
应用: 4-Deacetyl-7-(triethylsilyl)baccatin III is an intermediate in synthesizing 13-epi-10-Deacetyl Baccatin III (D198265), an analog of 10-Deacetylbaccatin III (D198250).
参考文献


2011-2018 信阳莱耀生物科技有限公司 @ 信阳埃尔文生物科技有限公司版权所有

中检所标准品,对照品,标准气体
Keywords: 中检所标准品 对照品 标准气体