欢迎光临:莱耀标准品网!
 您的位置:对照品 > 对照品 > 自制对照品 >
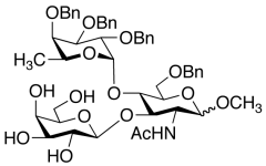
Lewis A Trisaccharide,  Methyl Glycoside Tetrabenzylether
产品基本信息
产品编号:L394625
产品名称:Lewis A Trisaccharide, Methyl Glycoside Tetrabenzylether
产品CAS:
规格含量:10mg
产品价格:面议
联系我们:
产品详细介绍
标准品编号: L394625
名称: Lewis A Trisaccharide, Methyl Glycoside Tetrabenzylether
别名: Methyl 2-Acetamido-6-O-benzyl-2-deoxy-4-O-(2,3,4-tri-O-benzyl-α-L- fucopyranosyl)-3-O-(b-D- galactopyranosyl)-b-D-glucopyranoside, Gal1-b-3[Fuc-2,3,4-bn-1-α-4]GlcNAc-6-bn-1-b-O-Me
参考CAS号: 86782-03-8 (for α) and 863106-23-4 (for β)
分子式: C₄₉H₆₁NO₁₅
外观: 白色至Pale Beige Solid
熔点: 170-173°C
分子量: 904.01
储存: Hygroscopic, -20°C Freezer, Under inert atmosphere
溶解度: Chloroform (Slightly), Methanol (Slightly)
稳定性: Hygroscopic
种类: Standards; Carbohydrates and Oligosaccharides;
应用: Lewis A Trisaccharide, Methyl Glycoside Tetrabenzylether is a compound useful in organic synthesis.
参考文献


2011-2018 信阳莱耀生物科技有限公司 @ 信阳埃尔文生物科技有限公司版权所有

中检所标准品,对照品,标准气体
Keywords: 中检所标准品 对照品 标准气体