欢迎光临:莱耀标准品网!
 您的位置:对照品 > 对照品 > 自制对照品 >
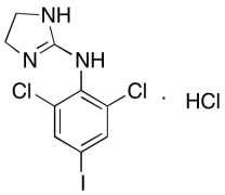
p-Iodoclonidine Hydrochloride
产品基本信息
产品编号:I694480
产品名称:p-Iodoclonidine Hydrochloride
产品CAS:108294-57-1
规格含量:50mg
产品价格:面议
联系我们:
产品详细介绍
标准品编号: I694480
名称: p-Iodoclonidine Hydrochloride
别名: N-(2,6-Dichloro-4-iodophenyl)-4,5-dihydro-1H-Imidazol-2-amine Hydrochloride
CAS号: 108294-57-1
参考CAS号: Free Base: 108294-53-7
分子式: C₉H₉Cl₃IN₃
分子量: 392.45
种类: Standards; Pharmaceutical/API Drug Impurities/Metabolites;
应用: p-Iodoclonidine Hydrochloride is a α2-Adrenergic agonist; and displays a high affinity for the α2-adrenergic receptor.
参考文献


2011-2018 信阳莱耀生物科技有限公司 @ 信阳埃尔文生物科技有限公司版权所有

中检所标准品,对照品,标准气体
Keywords: 中检所标准品 对照品 标准气体