您的位置:对照品 > 对照品 > 自制对照品 >
产品基本信息
产品编号:D485352
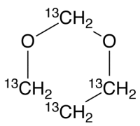
产品名称:1,3-Dioxane-13C4
产品CAS:
规格含量:100mg
产品价格:面议
联系我们:
产品详细介绍
标准品编号:
D485352
名称:
1,3-Dioxane-13C4
别名:
m-Dioxane-13C4 (8CI); 1,3-Dioxacyclohexane-13C4; 1,3-Propanediol Formal-13C4; NSC 139436-13C4; Dihydro-m-dioxin-13C4
参考CAS号:
Unlabelled:505-22-6
分子式:
¹³C₄H₈O₂
分子量:
92.08
种类:
Building Blocks; Isotopic Labeled Analogues;
应用:
Isotope labelled 1,3-Dioxane is rare isomer of 1,4-Dioxane, a heterocyclic organic compound. 1,3-Dioxane is used for a variety of practical applications as well as in the laboratory.
参考文献
Rahdary, P.A.A., et al.: J. Med. Plants., 6, 3105 (2012); Maruthupandian, A., et al.: Int. J. Phytomed., 3, 59 (2011); Ohno, K., et al.: Mutation. Res. Genetic. Toxicol. Environ. Mutagen., 588, 47 (2005);