欢迎光临:莱耀标准品网!
 您的位置:对照品 > 对照品 > 自制对照品 >
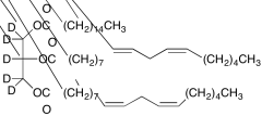
1,2-Dilinoleoyl-3-palmitoyl-rac-glycerol-d5
产品基本信息
产品编号:D460617
产品名称:1,2-Dilinoleoyl-3-palmitoyl-rac-glycerol-d5
产品CAS:
规格含量:5mg
产品价格:面议
联系我们:
产品详细介绍
标准品编号: D460617
名称: 1,2-Dilinoleoyl-3-palmitoyl-rac-glycerol-d5
别名: PLL-d5; Seasame Oil Related Compound B USP-d5
参考CAS号: 未标记:2190-15-0, 64550-34-1, 66964-28-1
分子式: C₅₅H₉₃D₅O₆
分子量: 860.39
种类: Standards; Isotopic Labeled Analogues; Lipids/Fatty Acids, Glycerol Derivatives; Environmental Standards, Mutagens and Metabolites;
应用: 1,2-Dilinoleoyl-3-palmitoyl-rac-glycerol-d5 is labelled 1,2-Dilinoleoyl-3-palmitoyl-rac-glycerol (D460615) which is a triacylglycerol found in sesame oil.
参考文献


2011-2018 信阳莱耀生物科技有限公司 @ 信阳埃尔文生物科技有限公司版权所有

中检所标准品,对照品,标准气体
Keywords: 中检所标准品 对照品 标准气体