欢迎光临:莱耀标准品网!
 您的位置:对照品 > 对照品 > 自制对照品 >
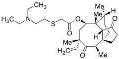
Dehydro Tiamulin
产品基本信息
产品编号:D229980
产品名称:Dehydro Tiamulin
产品CAS:113323-39-0
规格含量:5g
产品价格:面议
联系我们:
产品详细介绍
标准品编号: D229980
名称: Dehydro Tiamulin
别名: [3aS-(3aα,4β,6α,8β,9α,9aβ,10S*)]-[[2-(Diethylamino)ethyl]thio]-acetic acid 6-ethenyldecahydro-4,6,9,10-tetramethyl-1,5-dioxo-3a,9-propano-3aH-cyclopentacycloocten-8-yl Ester; 3a,9-Propano-3aH-cyclopentacyclooctene, acetic acid deriv.; Tiamulone
CAS号: 113323-39-0
分子式: C₂₈H₄₅NO₄S
分子量: 491.73
种类: Standards; Pharmaceutical/API Drug Impurities/Metabolites;
应用: Dehydro Tiamulin is an impurity of Tiamulin (T436600) which is a derivative of Pleuromutilin, antibacterial.
参考文献


2011-2018 信阳莱耀生物科技有限公司 @ 信阳埃尔文生物科技有限公司版权所有

中检所标准品,对照品,标准气体
Keywords: 中检所标准品 对照品 标准气体