欢迎光临:莱耀标准品网!
 您的位置:对照品 > 对照品 > 自制对照品 >
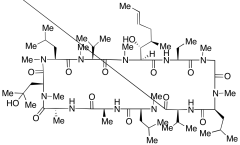
Cyclosporin AM 9
产品基本信息
产品编号:C989405
产品名称:Cyclosporin AM 9
产品CAS:89270-25-7
规格含量:5mg
产品价格:面议
联系我们:
产品详细介绍
标准品编号: C989405
名称: Cyclosporin AM 9
别名: 3-(4-Hydroxy-N-methyl-L-leucine)cyclosporin A; 1,4,7,10,13,16,19,22,25,28,31-Undecaazacyclotritriacontane Cyclic Peptide Deriv.; 5: PN: US6686454 SEQID: 5 Claimed Protein; AM 9; AM 9 (Peptide); Cyclosporin A Metabolite 1; Cyclosporin AM 9; OL 1
CAS号: 89270-25-7
分子式: C₆₂H₁₁₁N₁₁O₁₃
分子量: 1218.61
种类: Standards; Phenethylamines/Amphetamines;
应用: Cyclosporin AM 9 is a metabolite of Cyclosporin A (C988900), a hydrophobic cyclic undecapeptide that is used as a potent immunosuppressive agent that has application in human organ transplantation. Cyclosporin A works by inhibiting subsets of T lymphocytes to facilitate organ transplantation.
参考文献


2011-2018 信阳莱耀生物科技有限公司 @ 信阳埃尔文生物科技有限公司版权所有

中检所标准品,对照品,标准气体
Keywords: 中检所标准品 对照品 标准气体