欢迎光临:莱耀标准品网!
 您的位置:对照品 > 对照品 > 中药对照品 >
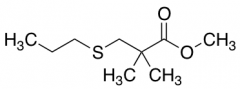
methyl 2,2-dimethyl-3-(propylsulfanyl)propanoate
产品基本信息
产品编号:M342453
产品名称:methyl 2,2-dimethyl-3-(propylsulfanyl)propanoate
产品CAS:1502982-10-6
规格含量:50mg
产品价格:面议
联系我们:
产品详细介绍
标准品编号: M342453
名称: methyl 2,2-dimethyl-3-(propylsulfanyl)propanoate
CAS号: 1502982-10-6
分子式: C₉H₁₈O₂S
分子量: 190.3
种类: Building Blocks; Miscellaneous;
应用: methyl 2,2-dimethyl-3-(propylsulfanyl)propanoate (cas# 1502982-10-6) is a useful research chemical.
参考文献


2011-2018 信阳莱耀生物科技有限公司 @ 信阳埃尔文生物科技有限公司版权所有

中检所标准品,对照品,标准气体
Keywords: 中检所标准品 对照品 标准气体