欢迎光临:莱耀标准品网!
 您的位置:对照品 > 对照品 > 中药对照品 >
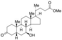
Methyl 7β-Hydroxy-3-ketocholanoate
产品基本信息
产品编号:M312760
产品名称:Methyl 7β-Hydroxy-3-ketocholanoate
产品CAS:67371-28-2
规格含量:100mg
产品价格:面议
联系我们:
产品详细介绍
标准品编号: M312760
名称: Methyl 7β-Hydroxy-3-ketocholanoate
别名: (5β,7β)-7-Hydroxy-3-oxo-cholan-24-oic Acid Methyl Ester;
CAS号: 67371-28-2
分子式: C₂₅H₄₀O₄
外观: Yellow Solid
分子量: 404.58
溶解度: Acetone, Chloroform, Methanol
种类: Standards; Steroids;
应用: Methyl 7β-Hydroxy-3-ketocholanoate is a product for research.
参考文献


2011-2018 信阳莱耀生物科技有限公司 @ 信阳埃尔文生物科技有限公司版权所有

中检所标准品,对照品,标准气体
Keywords: 中检所标准品 对照品 标准气体