欢迎光临:莱耀标准品网!
 您的位置:对照品 > 对照品 > 中药对照品 >
O-Isobutyl ((3aR,7S,9S,9aR)-2,2,7-Trimethylhexahydro-[1,3]dioxolo[4’,5&rsquo
产品基本信息
产品编号:I788785
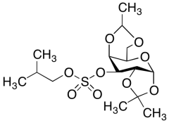
产品名称:O-Isobutyl ((3aR,7S,9S,9aR)-2,2,7-Trimethylhexahydro-[1,3]dioxolo[4’,5&rsquo
产品CAS:
规格含量:2.5mg
产品价格:面议
联系我们:
产品详细介绍
标准品编号: I788785
名称: O-Isobutyl ((3aR,7S,9S,9aR)-2,2,7-Trimethylhexahydro-[1,3]dioxolo[4’,5’:5,6]pyran[3,2-d][1,3]dioxin-9-yl) Sulfate
分子式: C₁₅H₂₆O₉S
分子量: 382.43
种类: Standards; Carbohydrates and Oligosaccharides;
应用: O-Isobutyl ((3aR,7S,9S,9aR)-2,2,7-Trimethylhexahydro-[1,3]dioxolo[4’,5’:5,6]pyran[3,2-d][1,3]dioxin-9-yl) Sulfate is an intermediate used in the synthesis of D-Galactose-3-sulfate Sodium Salt (G155290), which is an sulfated conjugated of D-Galactose (G155250), a epimer of Glucose (G595000) that is found in milk and sugar beets as well as being synthesized by the body.
参考文献


2011-2018 信阳莱耀生物科技有限公司 @ 信阳埃尔文生物科技有限公司版权所有

中检所标准品,对照品,标准气体
Keywords: 中检所标准品 对照品 标准气体