欢迎光临:莱耀标准品网!
 您的位置:对照品 > 对照品 > 中药对照品 >
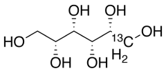
D-Iditol-1-13C
产品基本信息
产品编号:I175042
产品名称:D-Iditol-1-13C
产品CAS:
规格含量:10mg
产品价格:面议
联系我们:
产品详细介绍
标准品编号: I175042
名称: D-Iditol-1-13C
别名: NSC 227898-1-13C
参考CAS号: Unlabelled: 25878-23-3
分子式: C₅¹³CH₁₄O₆
分子量: 183.16
种类: Standards; Pharmaceutical/API Drug Impurities/Metabolites; Carbohydrates and Oligosaccharides;
应用: D-Iditol-1-13C is labelled D-iditol (I175040), a sugar alcohol which accumulates in galactokinase deficiency.
参考文献


2011-2018 信阳莱耀生物科技有限公司 @ 信阳埃尔文生物科技有限公司版权所有

中检所标准品,对照品,标准气体
Keywords: 中检所标准品 对照品 标准气体