欢迎光临:莱耀标准品网!
 您的位置:对照品 > 对照品 > 中药对照品 >
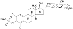
Estriol-d3 3-O-Sulfate 16-O-β-D-Glucuronide Sodium Salt
产品基本信息
产品编号:E888987
产品名称:Estriol-d3 3-O-Sulfate 16-O-β-D-Glucuronide Sodium Salt
产品CAS:
规格含量:5mg
产品价格:面议
联系我们:
产品详细介绍
标准品编号: E888987
名称: Estriol-d3 3-O-Sulfate 16-O-β-D-Glucuronide Sodium Salt
别名: β-D-Glucopyranosiduronic Acid 3,17β-Dihydroxyestra-1,3,5(10)-trien-16α-yl-d3 Mono(hydrogen Sulfate) Disodium Salt; 16α-(β-D-Glucopyranuronosyloxy)-estra-1,3,5(10)-triene-3,17β-diol-d3 3-(Hydrogen Sulfate) Disodium Salt
分子式: C₂₄H₂₇D₃Na₂O₁₂S
分子量: 591.55
种类: Standards; Isotopic Labeled Analogues; Steroids;
应用: Estriol-d3 3-O-Sulfate 16-O-β-D-Glucuronide Sodium Salt is the labeled analogue of Estriol 3-O-Sulfate 16-O-β-D-Glucuronide Sodium Salt (E888985), an analogue of Estriol 16-O-β-D-Glucuronide (E888965), a glucuronide derivative of Estriol (E888960); a metabolite of Estradiol that is considerably less potent than Estradiol itself.
参考文献


2011-2018 信阳莱耀生物科技有限公司 @ 信阳埃尔文生物科技有限公司版权所有

中检所标准品,对照品,标准气体
Keywords: 中检所标准品 对照品 标准气体