欢迎光临:莱耀标准品网!
 您的位置:对照品 > 对照品 > 中药对照品 >
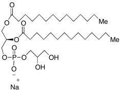
1,2-Dimyristoyl-sn-glycero-3-phospho-rac-(1-glycerol) (Sodium Salt)
产品基本信息
产品编号:D479625
产品名称:1,2-Dimyristoyl-sn-glycero-3-phospho-rac-(1-glycerol) (Sodium Salt)
产品CAS:200880-40-6
规格含量:100mg
产品价格:面议
联系我们:
产品详细介绍
标准品编号: D479625
名称: 1,2-Dimyristoyl-sn-glycero-3-phospho-rac-(1-glycerol) (Sodium Salt)
别名: (1R)-1-[[[(2,3-Dihydroxypropoxy)hydroxyphosphinyl]oxy]methyl]-1,2-ethanediyl Ester Tetradecanoic Acid Sodium Salt; (1R)-1-[[[(2,3-Dihydroxypropoxy)hydroxyphosphinyl]oxy]methyl]-1,2-ethanediyl Ester Tetradecanoic Acid Monosodium Salt; 1,2-Dimyristoyl-sn-glycero-3-phospho-(1'-rac-glycerol) Sodium Salt; DMPG Sodium Salt
CAS号: 200880-40-6
参考CAS号: 185463-22-3 free acid
分子式: C₃₄H₆₆O₁₀P• Na
外观: 白色固体
熔点: 185-187°C
分子量: 688.85
储存: Hygroscopic, -20°C Freezer, Under inert atmosphere
溶解性: DMSO (Slightly), Methanol (Slightly)
种类: Building Blocks; Pharmaceutical/API Drug Impurities/Metabolites;
应用: 1,2-Dimyristoyl-sn-glycero-3-phospho-rac-(1-glycerol) (Sodium Salt), is used in the production of micelles, liposomes, and other type of artificial membranes.
参考文献


2011-2018 信阳莱耀生物科技有限公司 @ 信阳埃尔文生物科技有限公司版权所有

中检所标准品,对照品,标准气体
Keywords: 中检所标准品 对照品 标准气体