欢迎光临:莱耀标准品网!
 您的位置:对照品 > 对照品 > 中药对照品 >
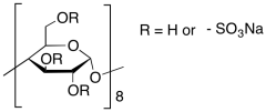
γ-Cyclodextrin Sulfate Sodium Salt (Technical Grade)
产品基本信息
产品编号:C982960
产品名称:γ-Cyclodextrin Sulfate Sodium Salt (Technical Grade)
产品CAS:
规格含量:500mg
产品价格:面议
联系我们:
产品详细介绍
标准品编号: C982960
名称: γ-Cyclodextrin Sulfate Sodium Salt (Technical Grade)
分子式: C₄₈H₈₀₋nO₄₀ • (SO₃Na)n
外观: 白色至白色固体
熔点: 199-201°C
分子量: 1297.21021
储存: Hygroscopic, -20°C Freezer, Under inert atmosphere
溶解度: Water (Slightly)
稳定性: Hygroscopic
类别: Standards; Carbohydrates and Oligosaccharides;
应用: γ-Cyclodextrin Sulfate Sodium Salt is a derivate of γ-Cyclodextrin (C989095), an encapsulation agent for bioactive compounds and pharmaceuticals. γ-Cyclodextrin is also used in the synthesis of unilamellar vesicles.
参考文献


2011-2018 信阳莱耀生物科技有限公司 @ 信阳埃尔文生物科技有限公司版权所有

中检所标准品,对照品,标准气体
Keywords: 中检所标准品 对照品 标准气体