欢迎光临:莱耀标准品网!
 您的位置:对照品 > 对照品 > 中检所对照品 >
Malachite GreenDiscontinued, see M110400
产品基本信息
产品编号:M110405
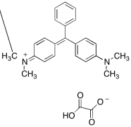
产品名称:Malachite Green Discontinued, see M110400
产品CAS:13425-25-7
规格含量:2.5g
产品价格:面议
联系我们:
产品详细介绍
标准品编号: M110405
名称: Malachite Green Discontinued, see M110400
别名: N-[4-[[4-(Dimethylamino)phenyl]phenylmethylene]-2,5-cyclohexadien-1-ylidene]-N-methylmethanaminium Ethanedioic Acid Ion(1-); N-[4-[[4-(Dimethylamino)phenyl]phenylmethylene]-2,5-cyclohexadien-1-ylidene]-N-methylmethanaminium Ethanedioate; C.I. Basic Green 4, Oxalate;
CAS号: 13425-25-7
分子式: C₅₂H₅₄N₄O₁₂
分子量: 927.01
种类: Research Tools; Materials; Dyes;
应用: Malachite Green is a triphenylmethane dye.
参考文献


2011-2018 信阳莱耀生物科技有限公司 @ 信阳埃尔文生物科技有限公司版权所有

中检所标准品,对照品,标准气体
Keywords: 中检所标准品 对照品 标准气体