欢迎光临:莱耀标准品网!
 您的位置:对照品 > 对照品 > 中检所对照品 >
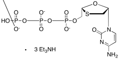
Lamivudine Triphosphate Triethylamine Salt (90%)
产品基本信息
产品编号:L172510
产品名称:Lamivudine Triphosphate Triethylamine Salt (90%)
产品CAS:
规格含量:1mg
产品价格:面议
联系我们:
产品详细介绍
标准品编号: L172510
名称: Lamivudine Triphosphate Triethylamine Salt (90%)
别名: ((2R,5S)-5-(4-Amino-2-oxopyrimidin-1(2H)-yl)-1,3-oxathiolan-2-yl)methyl Hydrogen Triphosphate Triethylammonium Salt
参考CAS号: Free Base: 143188-53-8
分子式: C₈H₁₄N₃O₁₂P₃S . [C₆H₁₅N]ₓ
外观: 白色至白色固体
分子量: 469.2010119
储存: Hygroscopic, -20˚C Freezer, Under Inert Atmosphere
溶解度: Methanol (Slightly), Water (Slightly)
稳定性: Hygroscopic
种类: Standards; Pharmaceutical/API Drug Impurities/Metabolites;
应用: A metabolite of Lamivudine (L172500).
参考文献


2011-2018 信阳莱耀生物科技有限公司 @ 信阳埃尔文生物科技有限公司版权所有

中检所标准品,对照品,标准气体
Keywords: 中检所标准品 对照品 标准气体