欢迎光临:莱耀标准品网!
 您的位置:对照品 > 对照品 > 中检所对照品 >
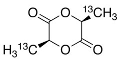
L-(-)-Lactide-13C2
产品基本信息
产品编号:L113602
产品名称:L-(-)-Lactide-13C2
产品CAS:
规格含量:5mg
产品价格:面议
联系我们:
产品详细介绍
标准品编号: L113602
名称: L-(-)-Lactide-13C2
别名: (3S,6S)-3,6-Dimethyl-1,4-dioxane-2,5-dione-13C2; (3S-cis)-3,6-Dimethyl-1,4-dioxane-2,5-dione-13C2; L-3,6-Dimethyl-p-dioxane-2,5-dione-13C2; (-)-L-Dilactide-13C2; (S,S)-3,6-Dimethyl-1,4-dioxane-2,5-dione-13C2; L,L-Dilactide-13C2; L-Dilactide-13C2; L-Lactide-13C2; LL-Lactide-13C2; Purasorb L-13C2;
参考CAS号: 类似: 4511-42-6
分子式: C₄¹³C₂H₈O₄
外观: 白色固体
熔点: 95-98°C
分子量: 146.11
储存: Hygroscopic, -20°C Freezer, Under inert atmosphere
溶解度: Chloroform (Slightly), Tolune (Slightly)
种类: Building Blocks; Isotopic Labeled Analogues; Pharmaceutical/API Drug Impurities/Metabolites;
应用: Labeled L-(-)-Lactide, a cyclic lactic acid derivative used in the ring-opening polymerization of Poly-L-lactic acid (PLLA), which is commonly found in biodegradable plastics. Polymers derived from L-(-)-Lactide also provide a therapeutic use in the field of prosthetics as they do not have any adverse effects on proliferation and differentiation of bone cells.
参考文献


2011-2018 信阳莱耀生物科技有限公司 @ 信阳埃尔文生物科技有限公司版权所有

中检所标准品,对照品,标准气体
Keywords: 中检所标准品 对照品 标准气体