您的位置:对照品 > 对照品 > 中检所对照品 > |
|
|
|
| 产品基本信息 |
|
| 产品编号:I820875 |
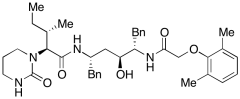
| 产品名称:Isolopinavir |
| 产品CAS:1132765-59-3 |
| 规格含量:25mg |
| 产品价格:面议 |
| 联系我们: |
|
|
|
|
|
| 产品详细介绍 |
| 标准品编号: |
I820875 |
| 名称: |
Isolopinavir |
| 别名: |
(2S,3S)-N-((2S,4S,5S)-5-(2-(2,6-Dimethylphenoxy)acetamido)-4-hydroxy-1,6-diphenylhexan-2-yl)-3-methyl-2-(2-oxotetrahydropyrimidin-1(2H)-yl)pentanamide |
| CAS号: |
1132765-59-3 |
| 分子式: |
C₃₈H₅₀N₄O₅ |
| 分子量: |
642.83 |
| 种类: |
Standards; Pharmaceutical/API Drug Impurities/Metabolites; Anti-virals/Anti-retrovirals; |
| 应用: |
Isolopinavir is a metabolite of Lopinavir (L469480); a selective HIV protease inhibitor and antiviral. |
| 参考文献 |
|
|
|
|
|
|