欢迎光临:莱耀标准品网!
 您的位置:对照品 > 对照品 > 中检所对照品 >
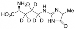
N5-(5-Hydro-5-methyl-4-imidazolon-2-yl) L-Ornithine-d6
产品基本信息
产品编号:H947637
产品名称:N5-(5-Hydro-5-methyl-4-imidazolon-2-yl) L-Ornithine-d6
产品CAS:1356932-16-5
规格含量:
产品价格:面议
联系我们:
产品详细介绍
标准品编号: H947637
名称: N5-(5-Hydro-5-methyl-4-imidazolon-2-yl) L-Ornithine-d6
别名: N5-(4,5-Dihydro-4-methyl-5-oxo-1H-imidazol-2-yl)-L-ornithine-d6; Nδ-(5-Hydro-5-methyl-4-imidazolon-2-yl)ornithine-d6; MG-H1-d6;
CAS号: 1356932-16-5
参考CAS号: 149204-50-2-unlabelled
分子式: C₉H₁₀D₆N₄O₃
分子量: 234.29
种类: Standards; Isotopic Labeled Analogues; Pharmaceutical/API Drug Impurities/Metabolites;
应用: Ornithine modification formed at high hydrostatic pressure. Novel amino acid metabolite produced by Streptomyces sp.
参考文献


2011-2018 信阳莱耀生物科技有限公司 @ 信阳埃尔文生物科技有限公司版权所有

中检所标准品,对照品,标准气体
Keywords: 中检所标准品 对照品 标准气体