欢迎光临:莱耀标准品网!
 您的位置:对照品 > 对照品 > 中检所对照品 >
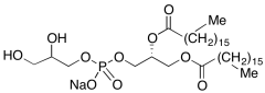
1,2-Diheptadecanoyl-(R)-glycero-3’-phosphoglycerol Sodium Salt
产品基本信息
产品编号:D448100
产品名称:1,2-Diheptadecanoyl-(R)-glycero-3’-phosphoglycerol Sodium Salt
产品CAS:799268-52-3
规格含量:25mg
产品价格:面议
联系我们:
产品详细介绍
标准品编号: D448100
名称: 1,2-Diheptadecanoyl-(R)-glycero-3’-phosphoglycerol Sodium Salt
别名: (1R)-1-[[[(2,3-Dihydroxypropoxy)hydroxyphosphinyl]oxy]methyl]-1,2-ethanediyl Ester Heptadecanoic Acid Monosodium Salt
CAS号: 799268-52-3
参考CAS号: Free Acid: 807319-51-3
分子式: C₄₀H₇₈NaO₁₀P
分子量: 773
种类: Building Blocks;
应用: 1,2-Diheptadecanoyl-(R)-glycero-3’-phosphoglycerol Sodium Salt is used as a calibration standard in the calibration of a diol column.
参考文献


2011-2018 信阳莱耀生物科技有限公司 @ 信阳埃尔文生物科技有限公司版权所有

中检所标准品,对照品,标准气体
Keywords: 中检所标准品 对照品 标准气体