欢迎光临:莱耀标准品网!
 您的位置:对照品 > 对照品 > 中检所对照品 >
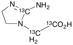
Cyclocreatine-1,4,5-13C3
产品基本信息
产品编号:C982202
产品名称:Cyclocreatine-1,4,5-13C3
产品CAS:
规格含量:25mg
产品价格:面议
联系我们:
产品详细介绍
标准品编号: C982202
名称: Cyclocreatine-1,4,5-13C3
别名: 2-Amino-4,5-dihydro-1H-Imidazole-1-acetic Acid-13C3; 1-Carboxymethyl-2-iminoimidazolidine-13C3
参考CAS: 未标记:35404-50-3
分子式: C₂¹³C₃H₉N₃O₂
外观: 白色固体
熔点: >268°C (dec.)
分子量: 146.12
储存: -20°C Freezer
溶解度: Water (Slightly)
类别: Building Blocks; Isotopic Labeled Analogues; Enzyme Activators and Inhibitors;
应用: Cyclocreatine-1,4,5-13C3 is the isotope labelled analog of Cyclocreatine (C982200); a compound that can regulate creatine biosynthesis by suppressing the level of arginine:glycine amidinotransferase in chick liver.
参考文献


2011-2018 信阳莱耀生物科技有限公司 @ 信阳埃尔文生物科技有限公司版权所有

中检所标准品,对照品,标准气体
Keywords: 中检所标准品 对照品 标准气体