欢迎光临:莱耀标准品网!
 您的位置:对照品 > 对照品 > 对照药材 >
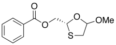
(2R)-5-Methoxy-1,3-oxathiolane-2-methanol 2-Benzoate
产品基本信息
产品编号:M265225
产品名称:(2R)-5-Methoxy-1,3-oxathiolane-2-methanol 2-Benzoate
产品CAS:528567-33-1
规格含量:250mg
产品价格:面议
联系我们:
产品详细介绍
标准品编号: M265225
名称: (2R)-5-Methoxy-1,3-oxathiolane-2-methanol 2-Benzoate
别名: (2R)-5-Methoxy-1,3-oxathiolane-2-methanol Benzoate
CAS号: 528567-33-1
分子式: C₁₂H₁₄O₄S
外观: Colorless Oil
分子量: 254.3
储存: -20°C Freezer
溶解度: Chloroform
种类: Building Blocks; Pharmaceutical/API Drug Impurities/Metabolites;
应用: Intermediate in the preparation of Lamivudine (L172500).
参考文献


2011-2018 信阳莱耀生物科技有限公司 @ 信阳埃尔文生物科技有限公司版权所有

中检所标准品,对照品,标准气体
Keywords: 中检所标准品 对照品 标准气体