欢迎光临:莱耀标准品网!
 您的位置:对照品 > 对照品 > 对照药材 >
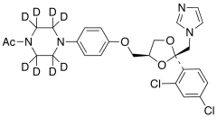
Ketoconazole-d8
产品基本信息
产品编号:K186002
产品名称:Ketoconazole-d8
产品CAS:1217706-96-1
规格含量:25mg
产品价格:面议
联系我们:
产品详细介绍
标准品编号: K186002
名称: Ketoconazole-d8
别名: cis-1-Acetyl-4-[4-[[2-(2,4-dichlorophenyl)-2-(1H-imidazol-1-ylmethyl)-1,3-dioxolan-4-yl]methoxy]phenyl]piperazine-d8
CAS号: 1217706-96-1
参考CAS号: 类似: 65277-42-1
分子式: C₂₆H₂₀D₈Cl₂N₄O₄
外观: 白色至Beige Solid
熔点: 140-144oC
分子量: 539.48
储存: -20°C Freezer
溶解度: Chloroform, Methanol
种类: Standards; Isotopic Labeled Analogues; Enzyme Activators and Inhibitors; Pharmaceutical/API Drug Impurities/Metabolites;
应用: Deuterated Ketoconazole, an inhibitor of cytochrome P-450 dependent steps in the biosynthesis of steroid hormones in vivo. Antimetastatic and antineoplastic activity. Orally active 5-lipoxygenase and thromboxane synthase inhibitor.
危险品: Not a dangerous good if item is equal to or less than 1g/ml and there is less than 100g/ml in the package
参考文献


2011-2018 信阳莱耀生物科技有限公司 @ 信阳埃尔文生物科技有限公司版权所有

中检所标准品,对照品,标准气体
Keywords: 中检所标准品 对照品 标准气体