欢迎光临:莱耀标准品网!
 您的位置:对照品 > 对照品 > 对照药材 >
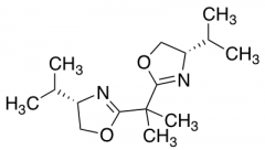
(S,S)-2,2'-Isopropylidenebis(4-isopropyl-2-oxazoline)
产品基本信息
产品编号:I918460
产品名称:(S,S)-2,2'-Isopropylidenebis(4-isopropyl-2-oxazoline)
产品CAS:131833-92-6
规格含量:50mg
产品价格:面议
联系我们:
产品详细介绍
标准品编号: I918460
名称: (S,S)-2,2'-Isopropylidenebis(4-isopropyl-2-oxazoline)
CAS号: 131833-92-6
分子式: C₁₅H₂₆N₂O₂
分子量: 266.39
种类: Building Blocks; Miscellaneous;
应用: (S,S)-2,2'-Isopropylidenebis(4-isopropyl-2-oxazoline) (cas# 131833-92-6) is a useful research chemical.
参考文献


2011-2018 信阳莱耀生物科技有限公司 @ 信阳埃尔文生物科技有限公司版权所有

中检所标准品,对照品,标准气体
Keywords: 中检所标准品 对照品 标准气体