欢迎光临:莱耀标准品网!
 您的位置:对照品 > 对照品 > 对照药材 >
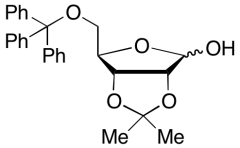
2,3-O-Isopropylidene-5-O-trityl-β-D-ribofuranose
产品基本信息
产品编号:I825465
产品名称:2,3-O-Isopropylidene-5-O-trityl-β-D-ribofuranose
产品CAS:54503-65-0
规格含量:5g
产品价格:面议
联系我们:
产品详细介绍
标准品编号: I825465
名称: 2,3-O-Isopropylidene-5-O-trityl-β-D-ribofuranose
别名: 2,3-O-(1-Methylethylidene)-5-O-(triphenylmethyl)-
CAS号: 54503-65-0
分子式: C₂₇H₂₈O₅
外观: Wax Oil
分子量: 432.51
溶解度: DCM
种类: Building Blocks; Pharmaceutical/API Drug Impurities/Metabolites;
应用: 2,3-O-Isopropylidene-5-O-trityl-β-D-ribofuranose is an intermediate in the synthesis of Pyrazofurin (P841750), an anticancer agent known to exhibit tumor cell growth inhibitory activity.
参考文献


2011-2018 信阳莱耀生物科技有限公司 @ 信阳埃尔文生物科技有限公司版权所有

中检所标准品,对照品,标准气体
Keywords: 中检所标准品 对照品 标准气体