欢迎光临:莱耀标准品网!
 您的位置:对照品 > 对照品 > 对照药材 >
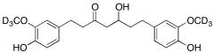
Hexahydrocurcumin-d6
产品基本信息
产品编号:H281277
产品名称:Hexahydrocurcumin-d6
产品CAS:
规格含量:5mg
产品价格:面议
联系我们:
产品详细介绍
标准品编号: H281277
名称: Hexahydrocurcumin-d6
别名: 5-Hydroxy-1,7-bis(4-hydroxy-3-methoxyphenyl)-3-heptanone-d6
参考CAS号: Unlabelled: 36062-05-2
分子式: C₂₁H₂₀D₆O₆
外观: 白色至Pale Beige Solid
熔点: 78-80°C
分子量: 380.46
储存: -20°C Freezer
溶解度: Chloroform (Slightly), Methanol (Very Slightly)
种类: Standards; Isotopic Labeled Analogues; Pharmaceutical/API Drug Impurities/Metabolites;
应用: Hexahydrocurcumin-d6 is an isotope labelled degradation product of Curcumin (C838500), a dietary anti-inflammatory and chemopreventive agent consisting of two methoxyphenol rings connected by a conjugated heptadienedione chain.
参考文献


2011-2018 信阳莱耀生物科技有限公司 @ 信阳埃尔文生物科技有限公司版权所有

中检所标准品,对照品,标准气体
Keywords: 中检所标准品 对照品 标准气体