欢迎光临:莱耀标准品网!
 您的位置:对照品 > 对照品 > 对照药材 >
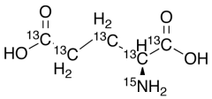
L-Glutamic Acid-13C5,15N
产品基本信息
产品编号:G596962
产品名称:L-Glutamic Acid-13C5,15N
产品CAS:1202063-56-6
规格含量:5mg
产品价格:面议
联系我们:
产品详细介绍
标准品编号: G596962
名称: L-Glutamic Acid-13C5,15N
别名: (2S)-2-Aminopentanedioic Acid-13C5,15N;
CAS号: 1202063-56-6
参考CAS号: Unlabelled: 56-86-0
分子式: ¹³C₅H₉¹⁵NO₄
外观: 白色至白色固体
熔点: 184-187°C
分子量: 153.09
储存: 冰箱
溶解度: Aqueous Acid (Slightly), Water (Slightly)
种类: Building Blocks; Amino Acids; Isotopic Labeled Analogues; Pharmaceutical/API Drug Impurities/Metabolites;
应用: An isotope labelled derivative of L-Glutamic Acid (G596960), a non-essential amino acid. Its salt form (glutamate) is an important neurotransmitter that plays a key role in long-term potentiation and is important for learning and memory. It is also a key molecule in cellular metabolism.
参考文献


2011-2018 信阳莱耀生物科技有限公司 @ 信阳埃尔文生物科技有限公司版权所有

中检所标准品,对照品,标准气体
Keywords: 中检所标准品 对照品 标准气体