您的位置:对照品 > 对照品 > 对照药材 > |
|
|
|
| 产品基本信息 |
|
| 产品编号:E649953 |
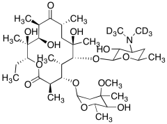
| 产品名称:Erythromycin-d6 |
| 产品CAS:959119-25-6 |
| 规格含量:10mg |
| 产品价格:面议 |
| 联系我们: |
|
|
|
|
|
| 产品详细介绍 |
| 标准品编号: |
E649953 |
| 名称: |
Erythromycin-d6 |
| 别名: |
E-Base-d6; E-Mycin-d6; Erytromycin VIP(LA)d6; Aknemycin-d6; Aknin-d6; Eemgel-d6; Ery-Derm-d6; Erymax-d6; Ery-Tab-d6; N,N-didemethyl-N,N-di(methyl-d3)erythromycin; |
| CAS号: |
959119-25-6 |
| 参考CAS: |
未标记:114-07-8 |
| 分子式: |
C₃₇H₆₁D₆NO₁₃ |
| 外观: |
白色至白色固体 |
| 熔点: |
>135°C (dec.) |
| 分子量: |
739.96 |
| 储存: |
-20°C Freezer |
| 溶解度: |
Chloroform (Slightly), Ethanol (Slightly), Methanol (Slightly) |
| 种类: |
Standards; Isotopic Labeled Analogues; Others; Pharmaceutical/API Drug Impurities/Metabolites; Antibotics; |
| 应用: |
Erythromycin-d6, is the labeled analogue of Erythromycin (E649950), an Antibiotic. |
| 参考文献 |
|
|
|
|
|
|
|
|