欢迎光临:莱耀标准品网!
 您的位置:对照品 > 对照品 > 对照药材 >
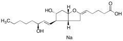
Epoprostenol E-isomer Sodium Salt
产品基本信息
产品编号:E589016
产品名称:Epoprostenol E-isomer Sodium Salt
产品CAS:63594-60-5
规格含量:10mg
产品价格:面议
联系我们:
产品详细介绍
标准品编号: E589016
名称: Epoprostenol E-isomer Sodium Salt
别名: 2H-Cyclopenta[b]furan, Prosta-5,13-dien-1-oic Acid Derivative; (E)-5-((3aR,4R,5R,6aS)-5-Hydroxy-4-((S,E)-3-hydroxyoct-1-en-1-yl)hexahydro-2H-cyclopenta[b]furan-2-ylidene)pentanoic Acid, Sodium Salt
CAS号: 63594-60-5
参考CAS: 65844-28-2
分子式: C₂₀H₃₂NaO₅
分子量: 375.45
种类: Standards; Pharmaceutical/API Drug Impurities/Metabolites;
应用: Epoprostenol E-isomer Sodium Salt is a useful intermediate used in the synthesis of prostacyclins, ketoprostaglandin and prostaglandins.
参考文献


2011-2018 信阳莱耀生物科技有限公司 @ 信阳埃尔文生物科技有限公司版权所有

中检所标准品,对照品,标准气体
Keywords: 中检所标准品 对照品 标准气体