欢迎光临:莱耀标准品网!
 您的位置:对照品 > 对照品 > 对照药材 >
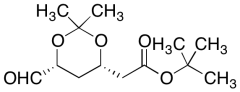
3,5-Dideoxy-2,4-O-(1-methylethylidene)-D-erythro-hexuronic Acid 1,1-Dimethylethyl Ester
产品基本信息
产品编号:D440085
产品名称:3,5-Dideoxy-2,4-O-(1-methylethylidene)-D-erythro-hexuronic Acid 1,1-Dimethylethyl Ester
产品CAS:1044518-75-3
规格含量:
产品价格:面议
联系我们:
产品详细介绍
标准品编号: D440085
名称: 3,5-Dideoxy-2,4-O-(1-methylethylidene)-D-erythro-hexuronic Acid 1,1-Dimethylethyl Ester
CAS号: 1044518-75-3
分子式: C₁₃H₂₂O₅
分子量: 258.31
种类: Building Blocks; Chiral Molecules;
应用: 3,5-Dideoxy-2,4-O-(1-methylethylidene)-D-erythro-hexuronic Acid 1,1-Dimethylethyl Ester is used in the synthesis of Amphotericin B.
参考文献


2011-2018 信阳莱耀生物科技有限公司 @ 信阳埃尔文生物科技有限公司版权所有

中检所标准品,对照品,标准气体
Keywords: 中检所标准品 对照品 标准气体