欢迎光临:莱耀标准品网!
 您的位置:对照品 > 对照品 > 对照药材 >
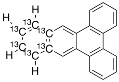
Dibenzo[a,c]anthracene-13C6
产品基本信息
产品编号:D417047
产品名称:Dibenzo[a,c]anthracene-13C6
产品CAS:215-58-7
规格含量:10mg
产品价格:面议
联系我们:
产品详细介绍
标准品编号: D417047
名称: Dibenzo[a,c]anthracene-13C6
别名: Benzo[b]triphenylene; 1,2:3,4-Dibenzanthracene; 1,2:3,4-Dibenzoanthracene; 2,3-Benzotriphenylene; Dibenz[a,c]anthracene;
CAS号: 215-58-7
参考CAS号: 未标记:215-58-7
分子式: C₁₆¹³C₆H₁₄
分子量: 284.3
种类: Standards; Isotopic Labeled Analogues; Environmental Standards, Mutagens and Metabolites;
应用: Labelled dibenzo[a,c]anthracene is a polycyclic aromatic hydrocarbon which are known carcinogens and environmental pollutants.
参考文献


2011-2018 信阳莱耀生物科技有限公司 @ 信阳埃尔文生物科技有限公司版权所有

中检所标准品,对照品,标准气体
Keywords: 中检所标准品 对照品 标准气体