欢迎光临:莱耀标准品网!
 您的位置:对照品 > 对照品 > 对照药材 >
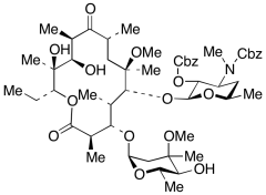
N-Demethyl-6-O-methyl-N-[(phenylmethoxy)carbonyl]-, 2'-(phenylmethyl carbonate) Erythromyc
产品基本信息
产品编号:D291730
产品名称:N-Demethyl-6-O-methyl-N-[(phenylmethoxy)carbonyl]-, 2'-(phenylmethyl carbonate) Erythromyc
产品CAS:
规格含量:10mg
产品价格:面议
联系我们:
产品详细介绍
标准品编号: D291730
名称: N-Demethyl-6-O-methyl-N-[(phenylmethoxy)carbonyl]-, 2'-(phenylmethyl carbonate) Erythromycin
别名: Benzyl ((2S,3R,4S,6R)-3-(((Benzyloxy)carbonyl)oxy)-2-(((3R,4S,5S,6R,7R,9R,11R,12R,13S,14R)-14-ethyl-12,13-dihydroxy-4-(((2R,4R,5S,6S)-5-hydroxy-4-methoxy-4,6-dimethyltetrahydro-2H-pyran-2-yl)oxy)-7-methoxy-3,5,7,9,11,13-hexamethyl-2,10-dioxooxacyclotetradecan-6-yl)oxy)-6-methyltetrahydro-2H-pyran-4-yl)(methyl)carbamate
分子式: C₅₃H₇₉NO₁₇
外观: 白色固体
分子量: 1002.19
溶解性: Chloroform, Ethyl Acetate
种类: Standards; Chiral Molecules; Pharmaceutical/API Drug Impurities/Metabolites; Carbohydrates and Oligosaccharides; Semi-Synthetic;
应用: N-demethyl-6-O-methyl-N-[(phenylmethoxy)carbonyl]-, 2'-(phenylmethyl carbonate) Erythromycin is an intermediate in the synthesis of Clarithromycin-N-methyl-13C, d3 (C559754), which is the labeled analogue of Clarithromycin (C559750), which is a semi-synthetic macrolide antibiotic. Clarithromycin is a derivative of Erythromycin (E650000).
参考文献


2011-2018 信阳莱耀生物科技有限公司 @ 信阳埃尔文生物科技有限公司版权所有

中检所标准品,对照品,标准气体
Keywords: 中检所标准品 对照品 标准气体