您的位置:对照品 > 对照品 > 对照药材 > |
|
|
|
| 产品基本信息 |
|
| 产品编号:D288702 |
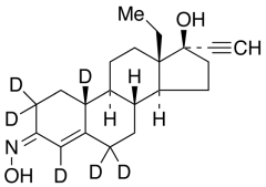
| 产品名称:17-Desacetyl Norgestimate-d6 (Major) |
| 产品CAS:1263184-13-9 |
| 规格含量:5mg |
| 产品价格:面议 |
| 联系我们: |
|
|
|
|
|
| 产品详细介绍 |
| 标准品编号: |
D288702 |
| 名称: |
17-Desacetyl Norgestimate-d6 (Major) |
| 别名: |
(17α)-13-Ethyl-17-hydroxy-18,19-dinorpregn-4-en-20-yn-3-one-d6 Oxime;17-Deacetylnorgestimate-d6; 18-Methylnorethindrone-d6 Oxime; BRN 4202099-d6; D-Norgestrel-d6 3-Oxime; Levonorgestrel-d6 3-Oxime; RWJ 10553-d6; Norelgestromin-d6; |
| CAS号: |
1263184-13-9 |
| 参考CAS号: |
类似: 53016-31-2 |
| 分子式: |
C₂₁H₂₃D₆NO₂ |
| 外观: |
白色固体 |
| 熔点: |
182-186˚C (dec.) |
| 分子量: |
333.5 |
| 储存: |
-20°C Freezer |
| 溶解性: |
Chloroform, Methanol |
| 种类: |
Standards; Steroids; Isotopic Labeled Analogues; Pharmaceutical/API Drug Impurities/Metabolites; |
| 应用: |
A labelled metabolite of Norgestimate. |
| 参考文献 |
|
|
|
|
|
|
|
|