欢迎光临:莱耀标准品网!
 您的位置:对照品 > 对照品 > 对照药材 >
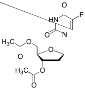
3’,5’-Di-O-acetyl-5-fluoro-2’-deoxyuridine
产品基本信息
产品编号:D239795
产品名称:3’,5’-Di-O-acetyl-5-fluoro-2’-deoxyuridine
产品CAS:110522-47-9
规格含量:10mg
产品价格:面议
联系我们:
产品详细介绍
标准品编号: D239795
名称: 3’,5’-Di-O-acetyl-5-fluoro-2’-deoxyuridine
别名: 1-(3,5-Di-O-acetyl-2-deoxy-α-D-erythro-pentofuranosyl)-5-fluoro-2,4(1H,3H)-pyrimidinedione;
CAS号: 110522-47-9
分子式: C₁₃H₁₅FN₂O₇
分子量: 330.27
种类: Standards; Pharmaceutical/API Drug Impurities/Metabolites;
应用: 3’,5’-Di-O-acetyl-5-fluoro-2’-deoxyuridine is a derivative of 2’-Fluoro-2’-deoxyuridine (F590275), which is a component incorporated into therapeutic oligonucleotides to combat prostate and breast cancer.
参考文献


2011-2018 信阳莱耀生物科技有限公司 @ 信阳埃尔文生物科技有限公司版权所有

中检所标准品,对照品,标准气体
Keywords: 中检所标准品 对照品 标准气体