欢迎光临:莱耀标准品网!
 您的位置:对照品 > 对照品 > 对照药材 >
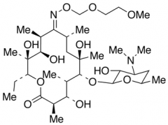
Decladinose Roxithromycin (Roxithromycin Impurity B)
产品基本信息
产品编号:D226800
产品名称:Decladinose Roxithromycin (Roxithromycin Impurity B)
产品CAS:214902-82-6
规格含量:5mg
产品价格:面议
联系我们:
产品详细介绍
标准品编号: D226800
名称: Decladinose Roxithromycin (Roxithromycin Impurity B)
别名: (9E)-3-O-de(2,6-dideoxy-3-C-methyl-3-O-methyl-α-L-ribo-hexopyranosyl)erythromycin9-[O-[(2-Methoxyethoxy)methyl]oxime]; Decladinoseroxithromycin; (9E)-3-O-De(2,6-dideoxy-3-C-methyl-3-O-methyl-α-L-ribo-hexopyranosyl)erythromycin 9-[O-[(2-Methoxyethoxy)methyl]oxime]; Roxithromycin Impurity B;
杂质: Roxithromycin EP Impurity B
CAS号: 214902-82-6
分子式: C₃₃H₆₂N₂O₁₂
外观: 白色至淡黄色固体
熔点: 89-95°C
分子量: 678.85
储存: -20°C Freezer, Under Inert Atmosphere
溶解性: DMSO (Slightly), Methanol (Slightly), Water (Slightly)
种类: Standards; Chiral Molecules; Pharmaceutical/API Drug Impurities/Metabolites;
应用: Roxithromycin impurity B. The inactive metabolite (M1) of Roxithromycin.
参考文献


2011-2018 信阳莱耀生物科技有限公司 @ 信阳埃尔文生物科技有限公司版权所有

中检所标准品,对照品,标准气体
Keywords: 中检所标准品 对照品 标准气体